0144-Easy二叉树的前序遍历
题目
给你二叉树的根节点 root ,返回它节点值的 前序 遍历。
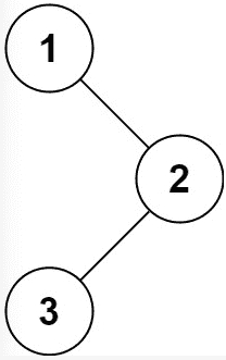
示例1:

示例 2:
示例 3:
解法
解法一
思路:先序遍历、中序遍历、后续遍历,这个概念要理清楚。然后利用递归,进行解题,就很简单了。
Java:
最后更新于
这有帮助吗?
给你二叉树的根节点 root ,返回它节点值的 前序 遍历。
示例1:

示例 2:
示例 3:
思路:先序遍历、中序遍历、后续遍历,这个概念要理清楚。然后利用递归,进行解题,就很简单了。
Java:
最后更新于
这有帮助吗?
这有帮助吗?
输入:root = [1,null,2,3]
输出:[1,2,3]输入:root = []
输出:[]输入:root = [1]
输出:[1]/**
* Definition for a binary tree node.
* public class TreeNode {
* int val;
* TreeNode left;
* TreeNode right;
* TreeNode() {}
* TreeNode(int val) { this.val = val; }
* TreeNode(int val, TreeNode left, TreeNode right) {
* this.val = val;
* this.left = left;
* this.right = right;
* }
* }
*/
class Solution {
public List<Integer> preorderTraversal(TreeNode root) {
List<Integer> result = new ArrayList<>();
preOrder(root, result);
return result;
}
private void preOrder(TreeNode root, List<Integer> res) {
if (root == null) {
return;
}
res.add(root.val);
preOrder(root.left, res);
preOrder(root.right, res);
}
}